发布时间:2024-02-23 11:13:56 编辑:Lisa来源:未知
	2024年STEP考试临近,如何做好考前冲刺?STEP考试冲刺辅导班有吗?牛剑笔面试辅导课程有吗?STEP备考哪方好?
	STEP (Sixth Term Examination Paper)是大学申请者数学能力的笔试,主要用来申请剑桥大学、华威大学和帝国理工的相关专业,也是申请其他学校的加分项。
剑桥大学已经在官网上通知,2024年STEP由OCR主办。
STEP报名与考试关键时间点
报名开放日:2024年3月1日
报名截止日:2024年5月4日
STEP 2考试日:2024年6月5日
STEP 3考试日:2024年6月24日
成绩查询日:2024年8月15日(比去年提前两天,与A-level放榜同一天)
			成绩查询截止日:2024年8月21日
			 
	
来自:OCR官网
	具体要参加STEP2还是STEP3考试或者都要参加取决于学校要求,相关的信息可以在大学的官网查到或者发邮件问大学的招生办。比如剑桥大学的数学专业需要A*A*A以及STEP2和STEP3都要达到等级1或者A*A*A*和STEP2或者STEP3达到等级1。华威大学的数学专业则需要A*A*A和STEP2或者STEP3达到等级2。
	STEP考试由STEP2和STEP3组成,STEP 1从2021年起已取消。STEP2考试一共包括12道题,每道题20分,满分120分,学生只需选择其中的任意6道题作答,考试时长都是3小时。考生尝试的所有题目都会被批改,最终的分数取决于得分最高的6道题目。
STEP 2考试内容包括A-level数学和AS进阶数学,试卷分为3个部分:第一部分包含8道纯数题、第二个部分2道力学题、第三个部分2道概率/统计题。
	STEP2的分数分为五个等级:S 1 2 3 U,申请剑桥大学至少需要达到等级1,申请华威大学至少需要达到等级2。
	
STEP真题解析
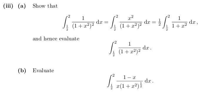
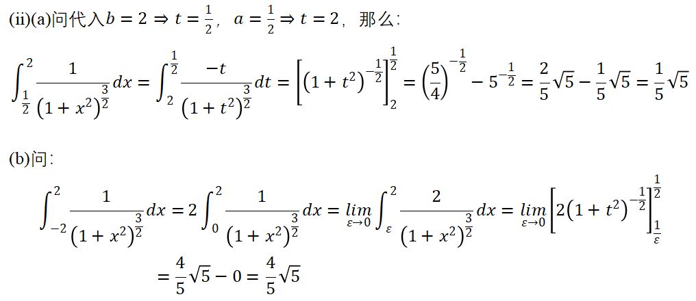
下面这道题出自2023年的真题:
	
	
	
	↓答案解析↓
	
	
	
	2024年STEP考试很快临近,STEP考试难度大,题型灵活,尤其STEP3难度比STEP2高不少,很多小伙伴在备考时会感到很棘手,这种情况下,苦苦干耗不如寻找指导老师的帮助!!
	 
STEP班课全新上线,由数学团队基于A-Level大纲、STEP往年试卷、大学数学入门材料和其他竞赛类书籍自主研发,经验丰富的金牌导师给学生全面的辅导!
	
授课形式:STEP线下面授
班型:1对1/4-8人小班课
课程服务:助教老师全程跟踪服务,将学生上课、学习情况等同家长及时沟通,更有专业的答疑老师,在线解答学生课后问题。
TMUA笔面试辅导
适用学员:有志申请G5名校数学和经济相关专业的高中生
MAT笔面试辅导
适用学员:有志申请G5名校数学和计算机相关专业的高中生
STEP笔面试辅导
适用学员:有志申请G5名校数学、物理、计算机相关专业的高中生
TSA笔面试辅导
适用学员:有志申请G5名校经济、哲学、心理学、历史等人文社科相关专业的高中生
ECAA笔面试辅导
适用学员:有志申请G5名校经济学相关专业的高中生
需要咨询STEP课程的
在线咨询客服老师~
 
										AMC04-17
 
										 
										物理碗04-23
 
										物理碗06-05
 
										 
										化学竞赛01-11