犀牛国际教育旗下指定官方网站~

课程咨询热线 400-656-1680

国际课程选择,AP微积分BC考试题型及解析

发布时间:2023-03-31 10:19:47 编辑:犀牛牛来源:犀牛国际教育

AP科目选课众多,该如何选择呢?AP微积分BC是最适合中国大部分学生的一门课程,他其实相当于是高等数学。美国高中科目设计中,普遍开了微积分的课程,其实就相当于是共欸初三也就是九年级开设的微积分课程PRE-CAL,而且美国本科大学录取时,非常重视微积分的课程,以及美国大学,大一大二几乎所有的专业,都需要修微积分这门课程,强烈建议大都数报考学生选择微积分这课程 
AP微积分课程分为微积分AB和微积分BC联盟课程,而微积分AB难度等同于是大学微积分第一学期的课程,而微积分BC则是大学课程中大学微积分第一学期和第二学期的课程,二者难度的对比想必已经一目了然

AP微积分BC考试题型及例题详细解析

题型1:

Multiple Choice Questions

without Calculator 无计算器选择题(IA)

【真题示例1】

AP微积分BC考试题型及解析

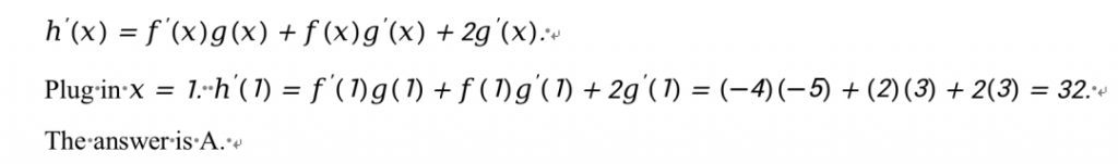
解析: This question is based on calculation of derivatives in the form of abstract functions.It is crucial to select proper differentiation rules to use.

AP微积分BC考试题型及解析

【真题示例2】

AP微积分BC考试题型及解析

解析: This question connects the idea of variable-limit integral and monotonicity from differentiation. Also, this question is given in the form of a graph, which also tests if one can understand the graph properly. Since we can differentiate variable-limit integral, we can hence study its monotonicity, extrema, as well as concavity.

AP微积分BC考试题型及解析

题型2:

Multiple Choice Questions

using Calculator 有计算器选择题(IB

【真题示例1】

AP微积分BC考试题型及解析解析AP微积分BC考试题型及解析

【真题示例2】

AP微积分BC考试题型及解析

解析:

AP微积分BC考试题型及解析

相关标签:

犀牛竞赛资料库

国际竞赛类资料

TOP