发布时间:2023-08-29 16:28:12 编辑:小杨来源:未知
				
				本文整理了BPHO考试真题、公式以及解析,需要的家长自取!
				
				
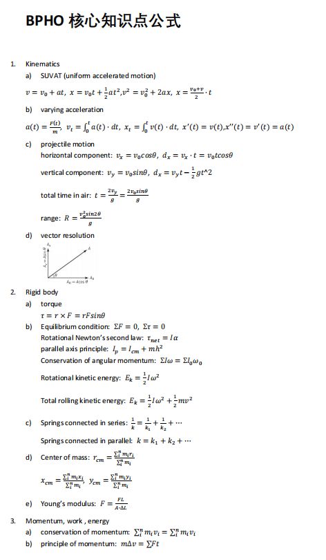
				犀牛为备考今年BPhO的同学整理了BPhO核心知识点公式,记住并能熟练运用这些公式可以大大节省比赛时间!
				 
				

				
				






				
				①BPhO考试语言:英语
②BPhO考题类型:证明题
③BPhO考试年级:建议9年级以上
④BPhO考试时间:每年11月份
⑤BPhO考试分为Section 1 和Section 2,S1包含15道题,S2包含5道题,两个部分最高可得50分,总分最多可得100分
				⑥BPhO竞赛报名:个人考生无法报名,可以通过授权学校或赛考机构进行报名
				 
				BPHO Round1考察的是哪些知识点?BPHO是英国物理奥林匹克竞赛,其组委会由牛津大学、英国物理学会和Odgen基金会组成。
				 
在国内参加的BPhO通常是BPhO正赛,BPhO Round1的难度相对较高,并且非常具有挑战性。因此,BPhO成绩在大学申请时可以作为学术水平的重要证明之一。
				BPhO Round1的题型是证明题,试卷全英文,要求学生具备A-level/IB/AP物理知识,并能够在此基础上进行延伸和发散。幸运的是,在BPhO竞赛中,不需要完全完成所有题目,学生只需选择自己擅长和感兴趣的部分进行作答。
				 
				BPhO Round 1 没有明确的考试大纲,根据历年考试情况归纳出BPhO考点主要包括以下内容。
				 
				
犀牛BPhO物理竞赛课程由物理竞赛高级教练带队,多年教学经验,采用体系化教研的专业教材,将竞赛知识点与国际课程知识点重新整合,分单元提升知识广度和各板块深度。像是在ALevel,IB等课程中没有学到的内容,都能在这个课程上补缺补差。
							
					
						
						
犀牛竞赛课程由物理方向金牌导师带队,采用体系化教研的专业教材,将竞赛知识点与国际课程知识点重新整合,分单元提升知识广度和各板块深度。像是在ALevel,IB等课程中没有学到的内容,都能在这个课程上补缺补差。
BPHO辅导目标:全面掌握物理学科的基础知识,补充AP物理、
A-level物理等国际教 育体系的物理学科知识,扩大学生的国际视野和综合学习的能力。针对BPhO的考点设计课程大纲,逐一攻破重难考点, 全面强化学生的知识技能体系。
BPHO辅导班型设置:一对一/小班教学,根据学生能力,可定制化具体辅导计划;
BPHO辅导班上课形式:线上/线下均可
▶ 校区:北京、上海、苏州、深圳、南京、无锡、山东等城市均有校区。
										AMC04-17
										
										物理碗04-23
										物理碗06-05
										
										化学竞赛01-11