发布时间:2023-12-06 09:21:30 编辑:橙子来源:犀牛国际教育



在AMC10/12的比赛中,我们国内的学生都有一个共同的目标,那就是获得 AIME的资格。在AMC10竞赛中排名前2.5%的同学,以及AMC12排名前5%的同学,才可被AIME邀请参赛,它由 AIME I和 AIME II两部分组成的。能在AIME竞赛中拿到好成绩,这足以说明学生拥有优秀的数学能力,这样才能更好地进入英美高等学府就读,也更有竞争力。那你是否真正了解AIME?
■ 考试形式:
AIME竞赛考试时间3小时,一共15道填空题,均为应用题,不允许使用计算器;满分15分,一题一分,答错不扣分;每道题答案的区间都只能是在000-999数字之间;问题的难度随着考试进行逐渐加大,前几道题为AMC12 水平难度,蕞后的难度会相当有挑战性。
■ 考试语言:
中英双语
■ 考试日期:
AIME I 考试时间:2024年2月1日
AIME II 考试时间:2024年2月7日
■ 考试时长:3小时
■ 参与方式:
AIME无需报名,AMC10/12分数达到晋级线后即可获组委会邀请参与,一般情况下AIME晋级学生会自动注册AIME I的考试,成功晋级AIME的同学会收到官方发的邮件。
■ 考试范围:
AIME和AMC 10、AMC12一样,考查范围仍然是算术、代数、计数、几何、数论和概率 (微积分不在数学竞赛考查范围内),但允许使用微积分方法解题
考前压到原题,这是几乎不可能的事情。但是能押到相关性的题目已经算是不错了。比如今年的AIME II卷第3题:
AIME Ⅱ 第3题

恰好之前在“等角作圆”这个模型中讲类似的题目:
等角做圆分为三类:
01

02

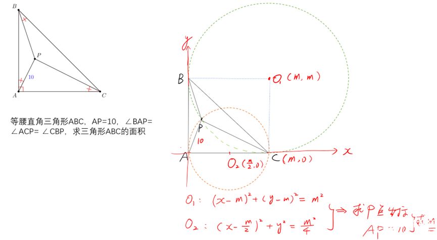
以上两道题是“等角做圆”专题里常讲到的题目,当然这两道题还有各种变体,如果这两道吃透,那么对于今年3月份的AIME II卷的题目就很很容易知道如何做圆,以及建坐标系进行快速求解:
03

当然这道题还有其他的解法,但是吃透了“等角做圆”会使得做题非常模块化,思考简单化。类似的思考方式,我们会在后续专题中继续分享。
根据AIME竞赛的真题情况来看,每年的命题风格都有较大的变化,难度和试题分布也没有明显的规律可循。仅仅盲目地刷AIME真题而缺乏解题思路是很难获得高分的。当在AIME考场上遇到新题时,很容易感到无从下手。因此,仅仅依靠刷AIME真题来备考往往是不够的。

AMC04-17
物理碗04-23
物理碗06-05
化学竞赛01-11