发布时间:2024-05-27 19:14:46 编辑:Daisy来源:网络
2024年BPhO英国物理奥林匹克竞赛将于11月份正式开赛!为了帮助各位考生今年一把冲金,这里为大家整理了BPhO竞赛考试必备公式,以及BPhO竞赛备考建议,大家可以参考。
犀牛BPhO竞赛备考培训辅导班课正在火热招生中,线上线下同步,名师教学,带领你一举夺冠最高奖!详情咨询
		
01
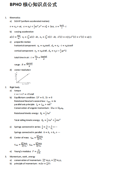
BPhO物理竞赛公式可以帮助同学们更快速解答BPhO物理竞赛题目,这里给大家总结了一些BPhO竞赛常用公式,供同学们参考。
BPhO竞赛力学常用公式
		
BPhO竞赛电磁学常用公式
		
BPhO竞赛热、光、核常用公式
		
BPhO竞赛常见数学常用公式
		
这里还给大家准备了BPhO竞赛公式PDF超全版,需要同学们可领取。
						
						
02
2024年BPhO竞赛考试时间:11月(2023年是11月7日,2024年暂未公布)
BPhO竞赛属于系列赛事,总共包含13种竞赛,分别针对针对英国Y10-Y13(国内9-12年级)的学生。
		
03
【夯实基础知识】
BPhO考察的内容广泛,需要你对高中物理的各个方面都有深入的理解。因此,确保基础知识扎实是非常重要的。如果发现自己在某个领域有薄弱点,要及时查漏补缺,强化学习。
【提高英语能力】
BPhO的考试语言是英语,因此需要具备较高的英语阅读和表达能力。阅读英文物理教材和文献,积累专业词汇,提高阅读速度和理解能力。
【注重解题技巧】
BPhO不仅考察物理知识,还考察解题技巧和思维能力。学习并掌握一些有效的解题技巧,如排除法、假设法、反证法等,可以帮助更快地找到解题思路,提高解题效率。
04
犀牛BPhO物理竞赛培训课程采用体系化教研的专业教材,将竞赛知识点与国际课程知识点重新整合,以2个年级的维度划分班型,针对8-11年级学生的BPhO物理竞赛培训各有侧重点。
零基础:初步刚接触物理学习或接近0基础,适合物理竞赛直通车课程,包含国际版学科物理+物理竞赛进阶
9-10年级:目标明年3月的BPHO中高级+物理碗D1
10-11年级:目标明年4的物理碗+明年11月的BPHO正赛R1
		
| 课程名称 | 课时 | 班型 | 
| 物理竞赛直通车2班 | 110 | 3-8人班 | 
| 物理竞赛直通车4班 | 110 | 3-8人班 | 
| 物理竞赛直通车3班 | 110 | 3-8人班 | 
| 物理竞赛直通车5班 | 110 | 3-8人班 | 
| BPHO正赛R1冲刺2班 | 20 | 3-8人班 | 
| 物理碗全程班-2023秋 | 60 | 3-8人班 | 
| 物理碗全程2班 | 60 | 3-8人班 | 
| 物理碗全程3班 | 60 | 3-8人班 | 
| BPHO正赛R1冲刺1班 | 30 | 3-8人班 | 
| 物理碗D2综合冲刺2班 | 
						40 | 3-8人班 | 
| BPHO中高级+物理碗综合班 | 60 | 3-8人班 | 
我们的课程体系:测试 - 讲解 - 练习 - 考察 - 答疑反馈,完整流程,我们能做到,认真对待每一个学生,合理规划学生学习进度,针对性辅导。
 
										AMC04-17
 
										 
										物理碗04-23
 
										物理碗06-05
 
										 
										化学竞赛01-11