发布时间:2025-03-30 17:33:39 编辑:Ann来源:犀牛国际教育
欧几里得考试被誉为“数学界的托福”。2025年欧几里得新赛季开启,报名进入倒计时!考试时间、报名渠道、评分规则一文速览~
电子版欧几里得真题咨询客服领取~
2025年欧几里得报名考试时间
欧几里得报名费用:280元
包含:200元考试费+80年元场地/试卷邮寄费
欧几里得报名截止时间:2025年2月20日
欧几里得考试时间:
北美和南美地区考试时间:2025年4月2日
其他地区(包括中国)考试时间:2025年4月3日
2025年欧几里得报名渠道
1、国际学
国际学校有自己的考点,学生可以和自己学校联系进行报名。
2、个人可以通过合作的第三方机构进行报名。
如果所在学校不能申请,可以通过合作机构报名,犀牛教育提供代报名服务,文末添加小助手详细咨询。
欧几里得中国区的考点:上海、深圳、成都、北京、西安、杭州
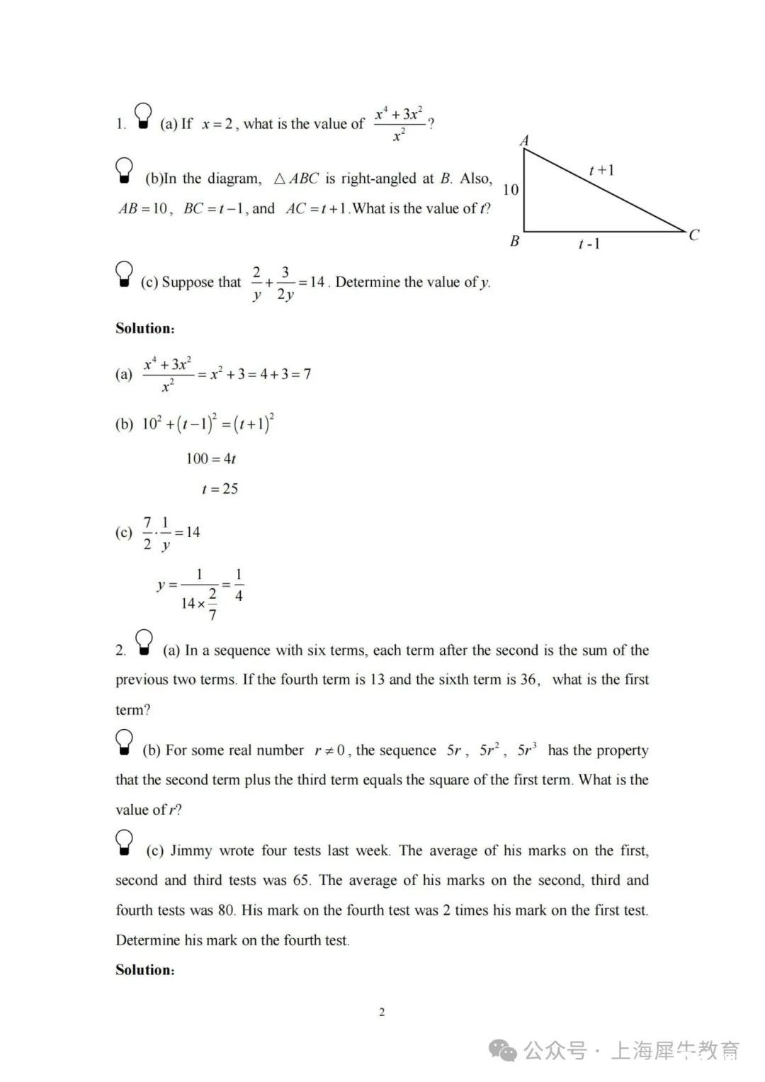
2024年欧几里得竞赛真题解析完整版













犀牛教育欧几里得培训课程
犀牛教育设置了欧几里得全程班、冲刺班等不同班型,授课4-8人/支持1v1小班授课,中英文授课模式。

欧几里得全程班大纲授课大纲(根据实际情况调整)

欧几里得竞赛授课教师简介

AMC04-17
物理碗04-23
物理碗06-05
化学竞赛01-11