发布时间:2025-04-23 09:32:04 编辑:小杨来源:犀牛国际教育
2025年经过连年扩招,上海三公校的招生计划已经达到了近千人,占全市整体择校人数比重近1/4,规模巨大!上岸三公的可能性也大大增加!今年足足高达930人!那么。今年上海三公怎么准备?有三公备考相关的课程吗?



三公备考一本通
私信客服

上海实验中学,面单邀约看似随意,实则要求学生的学科能力非常强!



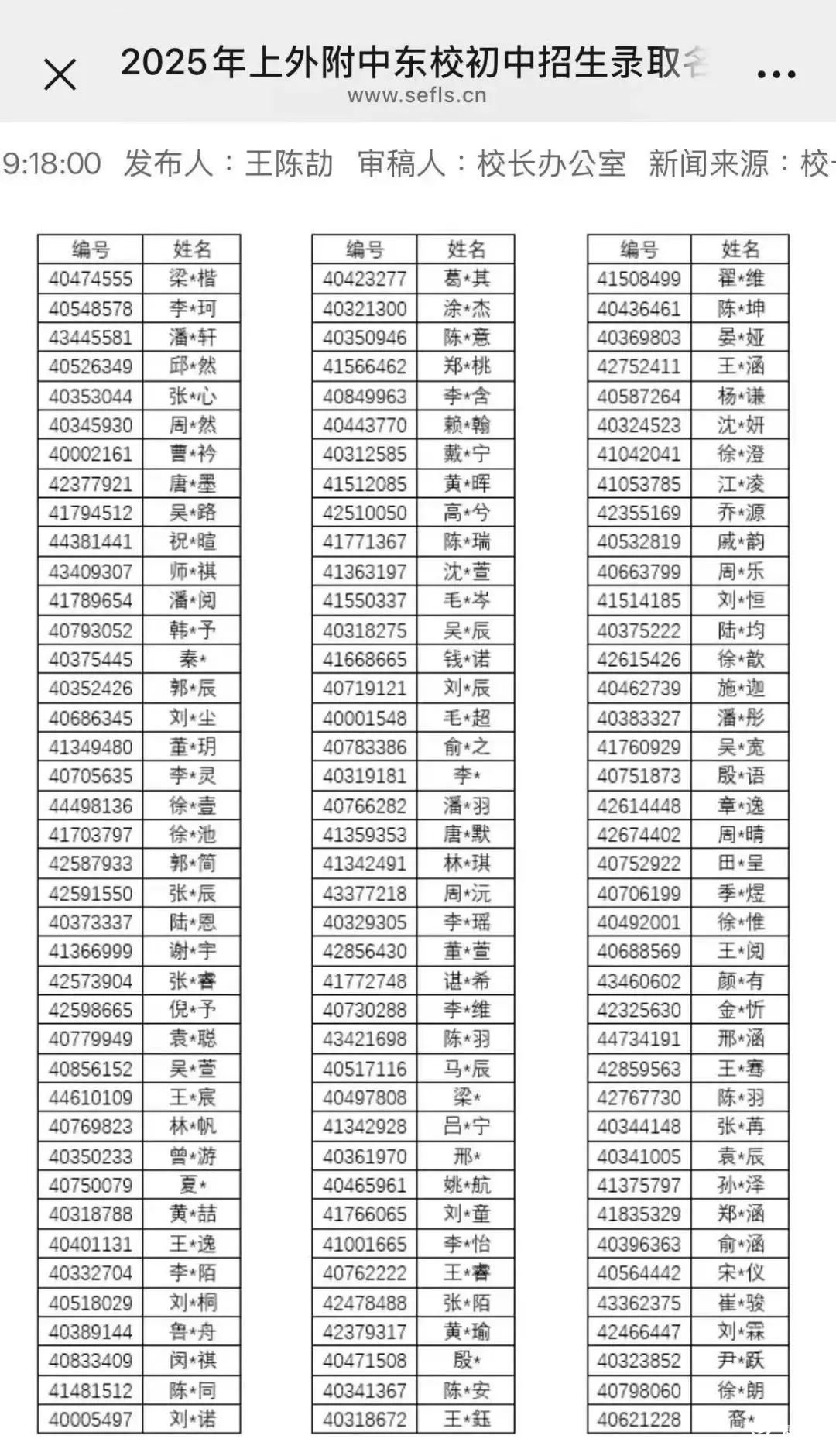
上外浦东录取结果


上外附中/上外浦外都是2所外语特色鲜明的学生,对学生的英文语言成绩要求更高!
基础培养期(G1-G2)
1. 学科
- 夯实校内基础
- 建立双语学习兴趣
2. 竞赛
- 推荐参加袋鼠数学竞赛/澳洲AMC竞赛(趣味性强/获奖率高)
3. 英语
- 培养原版阅读习惯
- 积累500-1000基础词汇
关键提升期(G3-G4)
1. 学术规划:
- 数学:启动AMC8系统训练(G3准备/G4参赛)目标前1%
- 英语:冲刺PET卓越
2. 背景提升:
- 争取市级/校级荣誉
- 开始小托福备考(目标850+)
冲刺准备期(G5)
时间节点:
- 五年级上学期提交申请材料
- 建议暑假完成小托福考试(需4000+词汇量)
犀牛国际针对三公必备【AMC8、思维100,小托福】开设三公培训班/冲刺班,针对1-5年级目标三公学校的孩子,都有适配的课程,入班前进行专业测试,匹配班型~



犀牛教育针对思维100竞赛开设了【思维100全程班】培训课程,分为3年级组、4年级组以及5年级组课程,不同年龄段学生均有对应课程选择,全面覆盖思维100考试知识点,25次课+2次模考,帮助学生掌握竞赛考点。



犀牛教育总部位于上海,在徐汇、浦东、黄浦共有3个校区,7个线下教学点可就近选择!




咨询上海三公培训
私信客服
AMC04-17
物理碗04-23
物理碗06-05
化学竞赛01-11