发布时间:2023-11-08 09:31:49 编辑:橙子来源:犀牛国际教育
2023年AMC10和AMC12竞赛即将开赛,今年AMC10/12竞赛和往年相比难度如何?2023年AMC10和AMC12竞赛考试结束后,老师会在静默期后第一时间给大家分享,另外,犀牛老师也为大家带来了考后速递直播讲座,快来抢先占位吧~
美国AMC系列数学竞赛其本身的含金量和认可度受到国内/国际广泛认可!
新赛季的AMC系列竞赛日程安排已出,各位参赛选手摩拳擦掌,为在比赛中争夺奖项,正投身于积极的备考之中...

和前几年相比,今年难不难?
重点考什么,难点考什么

下面是2022年AMC10竞赛A卷真题+解析(易错题)
14题 - 在处理蕞后的1、2、3时容易犯错误




18题 - 考场上思考运动的观点时,找到等价关系



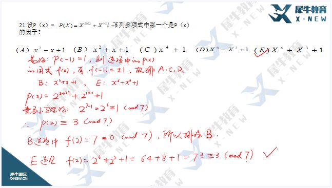
21题 - 立体几何的图形复杂性






AMC12考题分布
代数:52%
排列:20%
几何、数论:12%
其它:4%
代数和几何仍然是考察重点部分,同amc10一样,题目占比维持在64%。大部分为简单题,只有结合在一起的25题难度非常高
新出考点:
1️⃣不定方程:佩尔方程求其他值;
2️⃣复数的蕞值问题-代数求法(AIME);复数的蕞值问题-几何求法(其他S级)
哪些大知识点没有考:
1️⃣几何-圆
2️⃣概率-离散型、连续型概率
• 13题 (没办法划归为几何问题)

• 16题 (从来没学过)

• 17题 (三倍角公式遗忘,无法转化为二次函数问题)

• 21题 (过分注意解方程,没有注意这是选择题)

• 23题 (没办法化归成数列求和问题)

• 24题 (分类太多,容易遗漏或重复)

• 25题(没办法使用tan(α+β)这个公式;不定方程无法求解)

关于AMC完整版解析,可以领取很多高分的美国学生,从小学就开始准备AMC了。对国内学生来说,如果想要在AMC比赛中取得好成绩,建议至少提前半年开始准备,如果想要有更突出的成绩,蕞好能提前一年准备!
我们有一套科学的AMC测评卷,学生测完后会生成独家测评报告,包含优势分析、排名预估、能力评估等,帮助孩子更好的查漏补缺,有针对性地进行下一步学习!
课程分类:
3-4年级 :Pre-AMC8课程
5-6年级:AMC8基础、强化、冲刺课程
7-8年级 :Pre-AMC10课程
9-10年级 :AMC10基础、强化、冲刺课程
11-12年级 :AMC12基础、强化、冲刺课程
晋级同学 :AIME课程
Pre-AMC10适合:6升7、7升8 或具备初一、初二数学能力的学员
AMC10适合:8-10年级学生

AMC12适合:9-12年级学生

全国九大校区:北京、上海、广州、深圳、南京、杭州、苏州、无锡、青岛、合肥、武汉、成都等,满足海内外不同地区课程需求,线上+线下同步授课,支持回放,可反复观看学习。
AMC基础班(线上/线下)
全程班以讲解知识点为主,采用犀牛独家AMC教材,帮助学生在AMC准备初期,打好基础,全面掌握考点,为后续考前冲刺做准备!
AMC冲刺班(线上/线下)
在第一阶段巩固知识点的基础上,结合历年真题,进行模考点评,解决AMC备考过程中的重难点问题,查漏补缺,考前冲刺。专业老师讲授解题技巧,让学生在保证做题准确度的情况下,提升做题速度,冲击高分
AMC全程班(线上/线下)
适合基础薄弱的学生,将基础班和冲刺班一起学习。
AMC04-17
物理碗04-23
物理碗06-05
化学竞赛01-11