发布时间:2025-12-28 16:17:25 编辑:小妹来源:网络
UKChO化学竞赛知识点解析:共振式(resonance)在有机化学中的应用!针对计划参加UKChO并开始备考的学生,这里我们针对大家分享一些相关知识点的具体内容,希望对同学们的备考能够有所帮助,如果需要专业的UKChO化学竞赛辅导,也可以咨询客服老师
Resonance共振式的相关知识在无机化学中就已经涉及到,简单来说,在已知物质结构的前提下,resonance就是将lone pair electrons(以下简称lp)和π bond之间互相转化,并满足总bond数和lp数不变,以及formal charge不能超过1等限制条件。如N2O(笑气)的稳定的resonance有:

但是请注意,有一些不满足resonance限制条件的共振式并不是不能存在,它们只是因为能量太高而存在时间很短,在有些反应中会涉及到这种不稳定的、只能存在很短时间的resonance,如:

因为ion的不稳定性(或者说reactivity)就来自于charge,那么ion的charge越是分散,该ion就越稳定。Ion charge的分散,一个重要的原因就是来自于charge可以被resonance分散到几个atom上,从而实现charge的分散。
Ion的稳定性可以影响以下几个方面:
1. 物质的酸性或碱性
一个有酸性的物质的酸性强弱(给出H+的能力)是很难直接看出来的, 必须分析它的conjugate base(以下简称cB)的碱性。
而cB的ion的负电荷越是分散,它给出lone pair结合H+的能力就越弱,碱性就越弱,那么它的conjugate acid(以下简称cA)的酸性就越强。比如:
Carboxylic acid之所以有酸性,就是因为它的conjugate base(carboxylate)因为共振将负电荷分散到了两个O上,电荷分散,所以碱性弱:

诸如RSO2OH的acid叫做磺酸,统统都是strong acid,这是因为磺酸发生ionisation之后形成的conjugate base的负电荷因为共振而分散在了3个O上:

2. 判断一个leaving group是不是容易离去(被取代),最重要的影响因素就是看这个leaving group离去之后形成的particle(ion或molecule)是否稳定。
如果离去后形成的是ion,那么能不能通过resonance分散charge就成了ion稳定性的关键,如:
因为上文已经论证过,磺酸根因为resonance分散charge都是稳定的ion,那么磺酸根都是好的leaving group,这个反应可以用来将-OH(很差的leaving group)取代为-Cl或别的group:

这道UKChO真题可以确定的推出Q和R的结构就是如图所示的样子。既然如此,反应的机理就必然是如下图所示:


那么问题来了,为什么这种ion可以做leaving group呢?我们必须通过resonance的方法分析charge的分散情况:

虽然说这些resonance的稳定性各有差异,但是负电荷大致还是能分散在5个atom上,所以该ion很稳定,虽然从未见过,但肯定是一个很好的leaving group,很容易被取代掉。
当反应的中间体存在着不止一个稳定的resonance时,那么反应就会有不止一种产物,或者说,反应就会产生出一些非常规的产物出来。比如共轭双烯的加成反应:

因为反应的中间体carbocation因为共振的原因会产生两种carbocation,所以反应也会相应的产生两种产物。
在使用偶氮制备偶氮染料的反应中:

反应物的两个N之间明明是triple bond,到了产物中却变成了double bond。这是因为反应物发生了共振:

共振出了6个e的N,做electrophile进攻苯环,最后连在一起,所以最终产物中两个N之间是双键。6个e的resonance的确不稳定,可是稳定的resonance(左边的那一个)没有亲电性不能发生反应,那么共振出来的高能的6e的共振式就会进攻引发反应。
UKChO化学竞赛真题有也有类似情形:

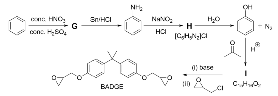
在形成的反应中,常规的反应是C6H5O-做nucleophile进攻丙酮:

可是产物的结构无论如何也和最终产物(BADGE)对不上。此时,我们就应该想到,是不是发生了resonance,并且按照最终产物BADGE的结构推断可能是哪一种resonance:
机理书写到这一步,反应已经确定了。之所以会产生BADGE那样的最终产物,是因为酚氧负离子共振成了醌式,由醌式发起进攻产生的。

综上所述,resonance在有机化学的深入学习中极其重要。有机化学的技巧除了书写mechanism的方法外,就数resonance的用途最广泛了。
因此,在有机化学的学习中,必须熟练掌握各种resonance的书写方法以及应用resonance来分析各种有机化学的问题。
AMC01-16
BPhO01-16