犀牛国际教育旗下指定官方网站~

课程咨询热线 400-656-1680

STEP与Alevel数学区别是什么、题目类型以及做题策略以及建议!

发布时间:2024-02-21 10:22:21 编辑:橙子来源:犀牛国际教育

Alevel数学通过学习的知识让学生完成一些固定套路的题目。但是STEP要求将相同的知识内容用于不熟悉的比较困难的题目。
 
STEP和Alevel数学之间的区别:
  1. STEP的题目更长;
  2. STEP的题目解题方法比较少;
  3. STEP题目要求学生能够非常灵活的数学运算;
  4. 单个STEP问题可能需要了解几个不同的数学模块(尤其是力学和统计问题,这通常需要比较复杂的纯数学的知识)
  5. STEP试卷上并未给出每一部分的分数。
  6. STEP试卷题目选择有很多种,从12道题目中选择6道即可。
  7. STEP考试中不提供公式表以及禁止使用计算器。
 

 

 
 
 
STEP考试简介
 
 
 

 

STEP(Sixth Term Examination Paper)是作为申请剑桥大学数学系一个重要的指标。每一年十二月份的数学专业面试,面试官都会问到有没有考到STEP或者成绩。这是作为conditional offer的一个条件。
 
STEP不仅用于剑桥大学的conditional offer条件,而且华威大学(Warwick University) 也会建议去参加STEP考试,STEP考试有STEP  I(Cancelled in 2021), STEP II, STEP III,难度一次递增。STEP II考察的是Alevel数学和AS进阶数学的知识点,STEP III 考察的是A2 further mathematics的内容。

图片

Pure math的题目是大部分学生的选择,因为更加熟悉,所以从8到纯数题目选择6道题目来做。考生需要特别注意A2的两个内容的麦克劳林展开式以及induction formula放在了STEP II中。
 
STEP满分120分,只需完成6道题目即可,或者按照得分最高的六道题目计算总分。按照分数等级划分,只要在三个小时内完成4道题目,有可能就会拿到等级1。
 
 
 
 
STEP考试目的
 
 
 
  1. STEP是作为剑桥大学数学专业以及其他基于数学课程的敲门砖,STEP的成绩与大学申请结果有很强的关系;
     
  2. STEP可以作为大学课程的准备。因为STEP的题目与大学本科数学题目有很大的相似之处;
     
  3. STEP可以用来检验学生的学习动力。准备STEP需要付出很大的精力,那些愿意努力的人更有可能在困难的大学课程中学习更加顺利。
     
 
 
 
STEP VS Alevel数学
 
 
 
Alevel数学通过学习的知识让学生完成一些固定套路的题目。但是STEP要求将相同的知识内容用于不熟悉的比较困难的题目。
 
比如下面的一道A-level数学的题目
图片
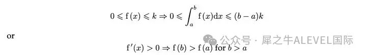
为了比较,这里是一个STEP问题,它需要基本数学技术和数学直觉的能力。
 
请注意,第一个积分给出了帮助和提示,以便每个人都从同一起点开始。然后,对于第二个积分,考生必须表明他们理解为什么第一部分中使用的替换有效,以及如何解决问题。
图片
 
 
 
 
STEP题目
 
 
 
STEP的题目不拘于特定的类型,每一张试卷都会有很多类型的题目。
 
  1. STEP的常规性问题分为两个(或更多)部分:在第一部分,你被要求完成一些不熟悉的目标,并被告知如何去做(比如使用特定的换元法求积分,把一个四次多项式写成两个平方的和等等);对于后面的部分,应该通过将该方法应用于一个新的并且可能更复杂的目标,以此来证明你已经理解并从第一部分中学到了东西。
     
  2. 另一个比较常见问题是根据某个数字(或参数)的值有不同答案的问题。比如一个常见的例子是绘制一个图形,其形状取决于参数是正数还是负数。一般情况下,问题中没有给出参数的不同值,必须自己找到。
     
  3. 另一个问题的形式是做一些特殊情况的问题,然后推导证明普遍的结果。
     
  4. 需要理解以及应用一个新的表达方式或者一个新的定理。
     
  5. 通常会避免包含几个不相关部分的问题(例如,使用不同技术的三个积分),但是如果出现了这一类情况,那么最后的一个问题一定是把前面问题的思路、方法以及解题过程结合在一起解决最后的问题。
     
  6. 有些问题并不是依据大纲内容出题,而是需要一些常识解决问题。比如计数问题,观察规律或者涉及到一些不寻常的某些初级数学知识内容。此类问题考察的是在试图不适用太多数学知识的情况下的清晰的逻辑思维能力。比如一些日历问题,比如“说说的是真话的问题”。
     
  7. 设计的问题并不是要盲目的使用常规的方法解决问题。比如比如一个函数在区间末点有定义但是导数不为0的情况下找到最大值。这样的问题就不是一个常规的求导数算最大值的问题。
     
  8. 会有一些问题特别是积分、导数甚至一些力学或者概率的问题都需要全程使用微积分。
     
  9. 画图是数学的基本的技巧,并且STEP中几乎每次都会有一些要求画图的问题。
     
  10. STEP中会出现一些基本的分析(甚至有一些恶事不需要证明或者画图证明的问题),比如
图片
 
11. 很少涉及到统计检验之类的问题,因为往往都会比较困难。出现的最多的是设计到概率的问题,比如分布。
 
12.力学部分的问题需要对一些基本的性质原理(比如动量守恒,动能守恒等)有一些比较好的理解。同时也有一些问题涉及到微分方程,比如抛物运动的题目是经常出现的。
 
 
 
 
给考生的建议
 
 
 
STEP考试确实是比较难的,相对于90分钟或者两个小时的学科类考试难度增加很多,毕竟STEP考试时长3个小时,只需要完成6到题目,也就是一道题目平均需要30分钟完成。
 
STEP的难度不在于题目有多么的难,而是在于不习惯或者不适应这样的出题形式以及做题方法和解题思路。
 
 
 
 
如何准备
 
 
 
对于学生来说,准备STEP考试最好的方式就是刷历年的试卷再加上STEP网站给了一些STEP的分类题目。做题过程中不要依赖答案和提示,遇到问题可以看提示,答案和提示是为你提供一个方向,看答案做题对学生来说没有意义,会失去解决整套题目的解决方法和思路,会导致不会解决其他的问题。准备过程中,思考过程往往比答案更重要。
 
考试过程中,解题的数量不是关键,关键的在于每一道题目能得到多少分数。一个学生做了4道题目,每一道题目得15分,和做6道得分为10分的等级是一样的。
 
做题卷面尽量整洁,避免出现识别错误的情况,比如“5”和“S“。按照答题卷的线来答题,把自己的一些不易寻找的结论可以画线标注出来。
 
 
 
 
准备中解决不了问题如何做
 
 
 
  1. 重新阅读题目,确定是否理解正确。
     
  2. 阅读题目中的每一个条件,哪怕是一个positive,negative或者greater than,因为每一个条件都是会用到很关键。观察题目中一个公式的的形式是否和问题有关系,观察题目中是否有相同的或者相似的条件(很重要!!!很重要!!!很重要!!!!)
     
  3. 要尝试化简你的一些表达式,有助于后面问题的解决。
     
  4. 考虑一些特殊的情况,比如遇到every/any integer,可以带入某些数进行验证或者计算。
     
  5. 先进行下一道题目,再返回看这道题目。
     
  6. 和同学以及老师讨论,讨论如何解决问题而不是具体的某个计算或者证明。不要受到其他人的思路的影响,否则有可能会进入一个死胡同。
     
  7. 检查一下自己的一些计算是否有问题,特别是一些特殊的情况比如不能取某个值等问题,尽量确保前一步是正确的。
     
  8. 如果解决不了问题,可以尝试使用文字去表述一些问题,比如两点之间线段最短,比如三角形的两边之和大于第三边,或者画图来解释说明也会获得一定的分数。
 
 
 
 
完成题目之后的检查
 
 
 
解决一道题目之后可以停留几分钟进行检查,检查的部分包含:
 
  1. 检查自己的一些写法是否有问题,确保一些特殊的情况也考虑到位。
     
  2. 检查答案是否合理。比如题目中要求写整数,比如概率范围等。
  3. 检查一下是否把题目中给的所有的信息都应用了。如果未全部使用,会出现答案错误或者做不出来的情况。
     
  4. 确保自己理解题目的关键点,比如证明的问题,要明白证明的是什么。
     
  5. 检查一下过程是否写的特别详细。千万不要跳步计算,或者跳步证明,如果遗漏了某些步骤可能会导致后面的题目不能“按图索骥”解决问题。
 
 
 
 
总结
 
 
 

 

STEP考试是申请剑桥数学系的重要的指标,需要付出的经历和时间甚至超过数学和进阶数学。
 
 
犀牛Alevel课程介绍
 
 
犀牛全日制ALevel课程全日制优势
ALevel课程A/A*获得者、英国G5名师传授总结知识,分析高分技巧。不走弯路,更短的时间,更快的进步。
留学个性化规划,有针对性的学校选课和个性化的定制申请材料,不盲目论文。
提供托福/雅思课程,申请所需全部考试一站式规划+学习。
ALevel课程
2年制: 小班授课,4科+选修,9月入学
1.5年制: 小班授课,4科,入学时间:6月/12月入学
1年制: 小班授课,4科,9月入学
相关标签:

犀牛竞赛资料库

国际竞赛类资料

最新资讯

TOP