发布时间:2025-11-20 14:04:28 编辑:Lisa来源:犀牛国际教育
AMC8竞赛备考难度大吗?从哪些知识点入手?AMC8竞赛主要考察哪些内容?相关的知识点有吗?不同基础学生要怎么备考?备考AMC8数学竞赛要怎么备考?AMC8数学竞赛备考有相关的知识点整理资料吗?
AMC8竞赛备考从哪些知识点开始?
AMC8竞赛的考察方向以四大板块为基础,考察内容从1-8年级的基础知识入手,会延伸拓展到小奥的部分考点知识。考察内容相对广泛。
考试内容主要集中在四大模块:
基础代数(约10题)
代数是AMC8的核心板块,考查比例、方程、数列、函数规律等。
重点方向:代数运算、方程求解、数字规律、表达式计算。
几何与图形(约6~8题)
题量稳定,考查三角形、平行线、面积、体积、角度关系等。
重点方向: 拆分法、补形法、构造法、勾股定理、角度运算。
组合与计数(约3~5题)
每年稳定出现,主要涉及排列组合、统计、概率等内容。
常见题型: 抽签类、路径计数、概率求解、分组方案。
数论与逻辑(约4~6题)
AMC8的进阶难点,考查质数、约数、余数、整除、倍数、数位、最大公因数、最小公倍数等。
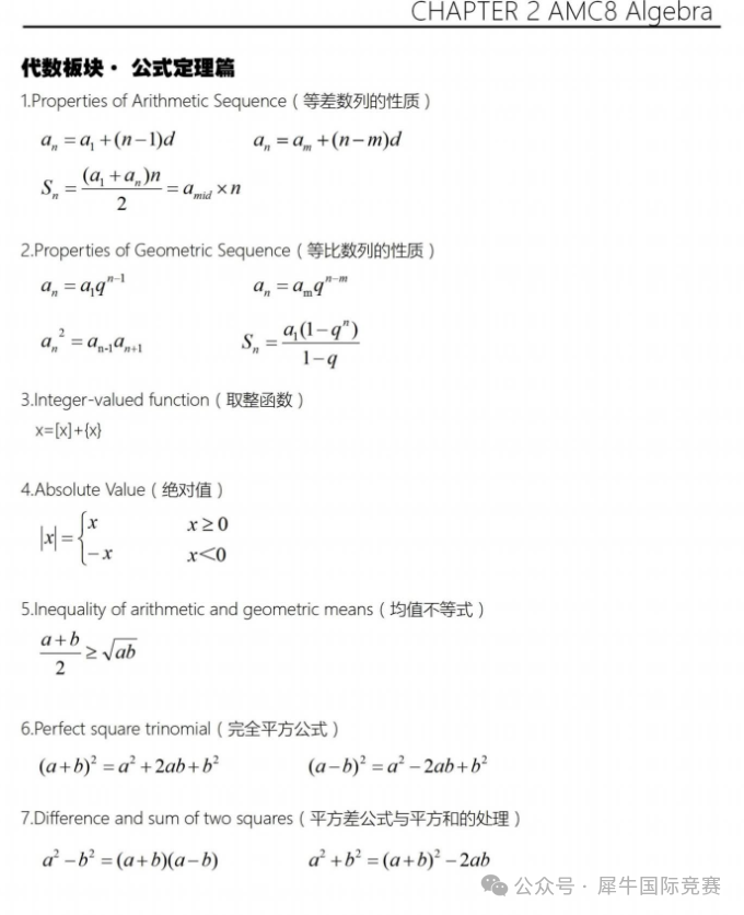
已经对AMC8的各大知识点了解的同学,对于详细的考点公式定理的使用技巧也是考察的重点,在备考AMC8时,一定要知其所以然,知道与会使并行才行。犀牛整理了AMC8各知识点公式与使用策略。

AMC11-20
AMC11-20
物理碗11-20
BPhO11-19